Официальное опубликование правовых актов
ОФИЦИАЛЬНОЕ ОПУБЛИКОВАНИЕ
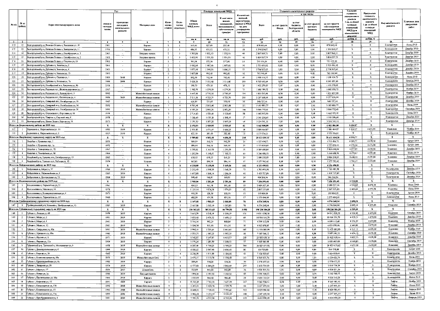
Постановление Правительства Белгородской области от 27.04.2020 № 173-пп
"О внесении изменений в постановление Правительства Белгородской области от 18 июня 2018 года № 225-пп"
Номер опубликования: 3100202005060005
Дата опубликования: 06.05.2020
Страница №4 из 22:
Увеличить