Официальное опубликование правовых актов
ОФИЦИАЛЬНОЕ ОПУБЛИКОВАНИЕ
Постановление Правительства Белгородской области от 16.03.2020 № 89-пп
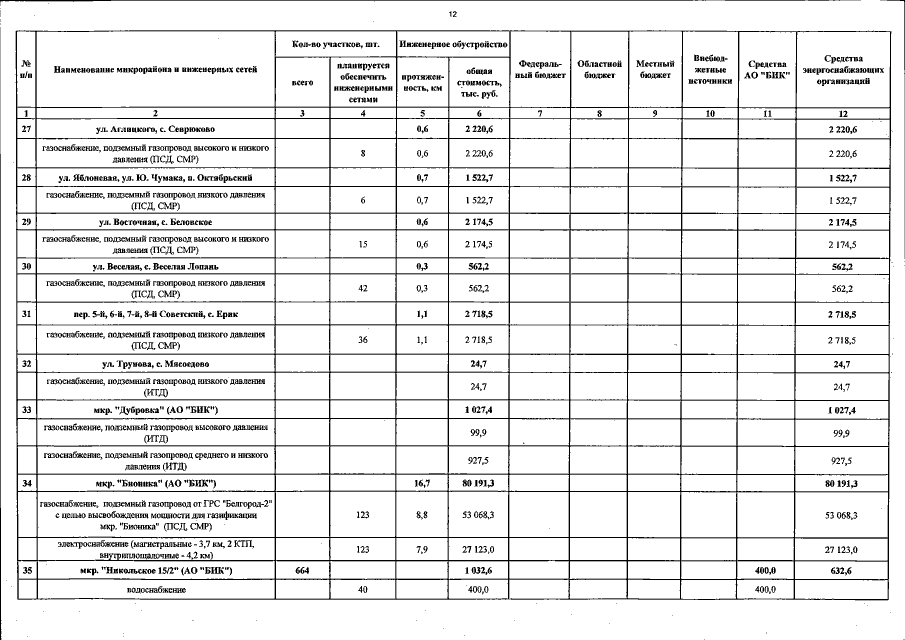
"Об утверждении пообъектного перечня мероприятий по инженерному обустройству микрорайонов массовой застройки индивидуального жилищного строительства в Белгородской области, в том числе земельных участков, выданных многодетным семьям, на 2020 год"
Номер опубликования: 3100202003230002
Дата опубликования: 23.03.2020
Страница №12 из 24:
Увеличить