Официальное опубликование правовых актов
ОФИЦИАЛЬНОЕ ОПУБЛИКОВАНИЕ
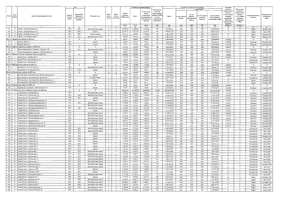
Постановление Правительства Белгородской области от 23.12.2019 № 604-пп
"О внесении изменений в постановление Правительства Белгородской области от 18 июня 2018 года № 225-пп"
Номер опубликования: 3100201912310002
Дата опубликования: 31.12.2019
Страница №9 из 18:
Увеличить