Официальное опубликование правовых актов
ОФИЦИАЛЬНОЕ ОПУБЛИКОВАНИЕ
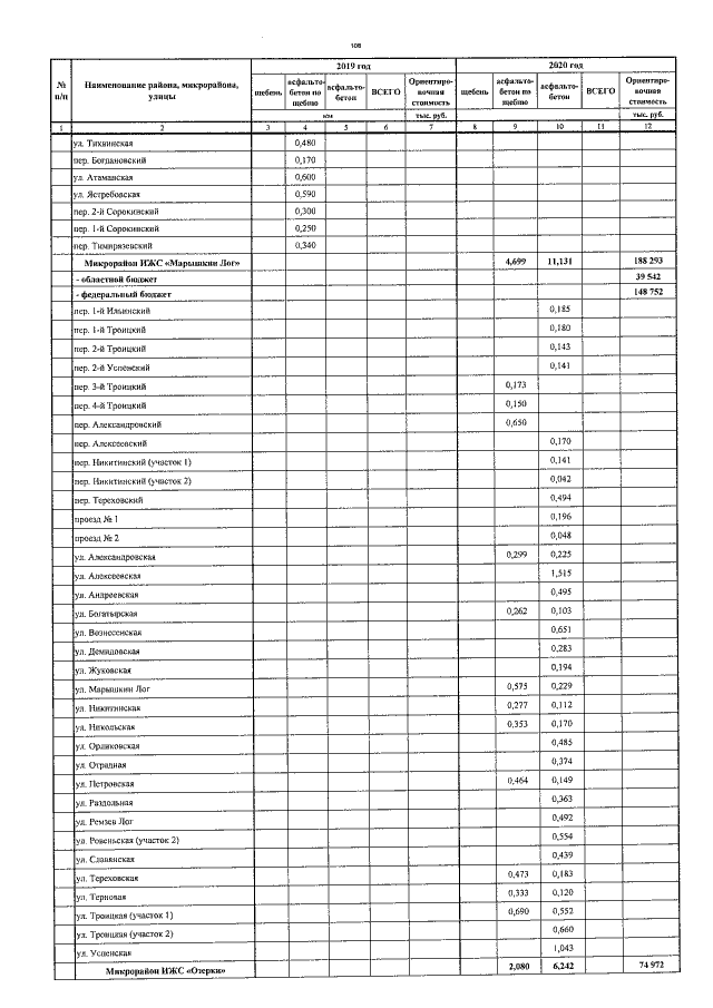
Постановление Правительства Белгородской области от 02.12.2019 № 525-пп
"О внесении изменений в постановление Правительства Белгородской области от 28 октября 2013 года № 440-пп"
Номер опубликования: 3100201912090001
Дата опубликования: 09.12.2019
Страница №108 из 115:
Увеличить