Официальное опубликование правовых актов
ОФИЦИАЛЬНОЕ ОПУБЛИКОВАНИЕ
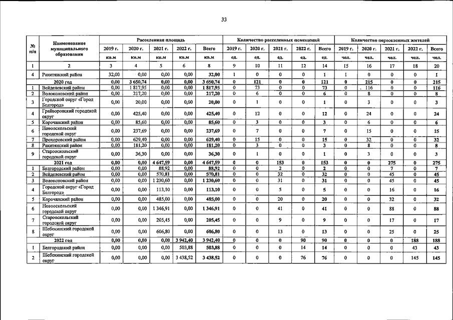
Постановление Правительства Белгородской области от 10.06.2019 № 248-пп
"Об утверждении адресной программы Белгородской области по переселению граждан из аварийного жилищного фонда, признанного таковым после 1 января 2017 года, в 2019 - 2022 годах"
Номер опубликования: 3100201906110002
Дата опубликования: 11.06.2019
Страница №33 из 33:
Увеличить