Официальное опубликование правовых актов
ОФИЦИАЛЬНОЕ ОПУБЛИКОВАНИЕ
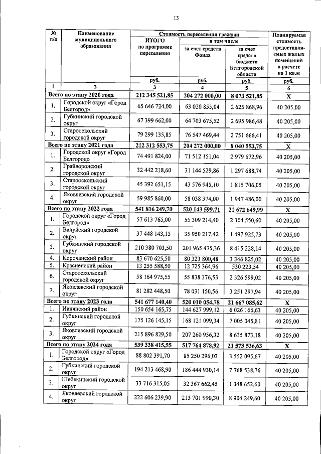
Постановление Правительства Белгородской области от 18.03.2019 № 114-пп
"Об утверждении адресной программы Белгородской области по переселению граждан из аварийного жилищного фонда, признанного таковым до 1 января 2017 года, в 2019-2025 годах"
Номер опубликования: 3100201903260005
Дата опубликования: 26.03.2019
Страница №13 из 51:
Увеличить