Официальное опубликование правовых актов
ОФИЦИАЛЬНОЕ ОПУБЛИКОВАНИЕ
Постановление Губернатора Белгородской области от 29.12.2018 № 151
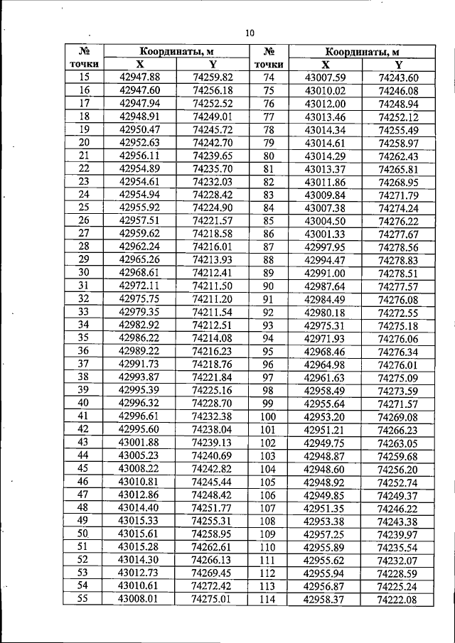
"О создании охранных зон особо охраняемых природных территорий регионального значения и утверждении Положений об охранных зонах памятников природы регионального значения, расположенных на территории Старооскольского городского округа Белгородской области"
Номер опубликования: 3100201812310008
Дата опубликования: 31.12.2018
Страница №10 из 28:
Увеличить