Официальное опубликование правовых актов
ОФИЦИАЛЬНОЕ ОПУБЛИКОВАНИЕ
Постановление Губернатора Белгородской области от 28.12.2018 № 135
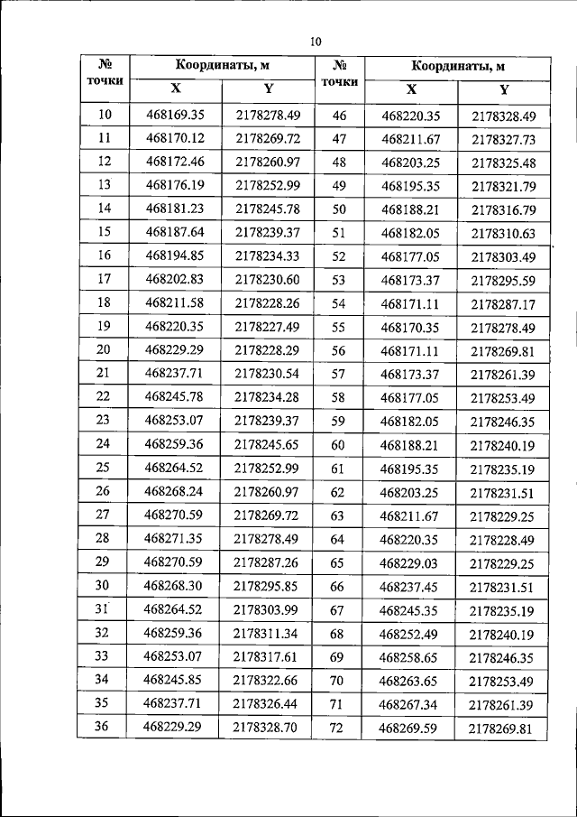
"О создании охранных зон особо охраняемых природных территорий регионального значения и утверждении Положений об охранных зонах памятников природы регионального значения, расположенных на территории Губкинского городского округа Белгородской области"
Номер опубликования: 3100201812290024
Дата опубликования: 29.12.2018
Страница №10 из 12:
Увеличить