Официальное опубликование правовых актов
ОФИЦИАЛЬНОЕ ОПУБЛИКОВАНИЕ
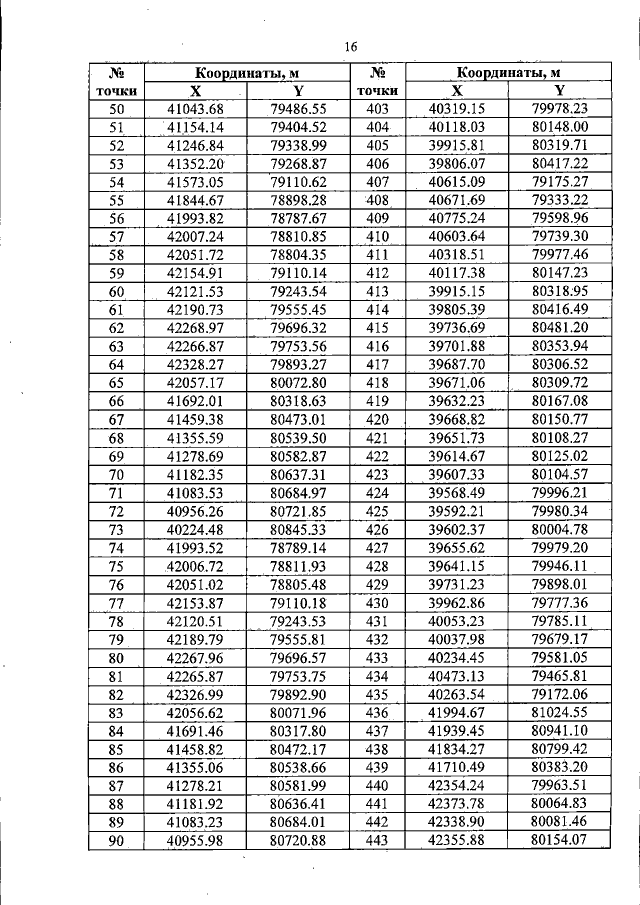
Постановление Губернатора Белгородской области от 17.12.2018 № 122
"О создании охранных зон особо охраняемых природных территорий регионального значения и утверждении Положений об охранных зонах природных парков регионального значения, расположенных на территории Старооскольского городского округа Белгородской области"
Номер опубликования: 3100201812190004
Дата опубликования: 19.12.2018
Страница №16 из 23:
Увеличить