Официальное опубликование правовых актов
ОФИЦИАЛЬНОЕ ОПУБЛИКОВАНИЕ
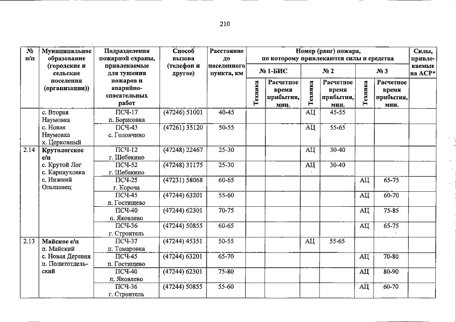
Постановление Правительства Белгородской области от 19.11.2018 № 434-пп
"Об утверждении Плана привлечения сил и средств территориального пожарно-спасательного гарнизона Белгородской области для тушения пожаров и проведения аварийно-спасательных работ на территории Белгородской области"
Номер опубликования: 3100201811270014
Дата опубликования: 27.11.2018
Страница №210 из 260:
Увеличить