Официальное опубликование правовых актов
ОФИЦИАЛЬНОЕ ОПУБЛИКОВАНИЕ
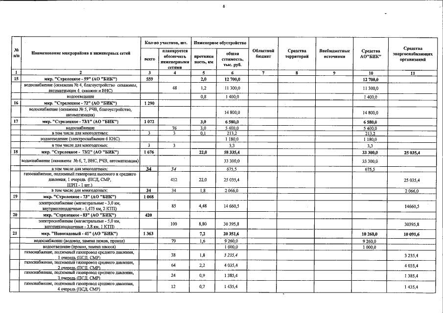
Постановление Правительства Белгородской области от 19.03.2018 № 78-пп
"Об утверждении пообъектного перечня мероприятий по инженерному обустройству микрорайонов массовой застройки индивидуального жилищного строительства в Белгородской области, в том числе земельных участков, выданных многодетным семьям, на 2018 год и об утверждении прогнозного плана мероприятий по инженерному обустройству микрорайонов массовой застройки индивидуального жилищного строительства в Белгородской области на 2019-2023 годы"
Номер опубликования: 3100201803210004
Дата опубликования: 21.03.2018
Страница №8 из 24:
Увеличить