Официальное опубликование правовых актов
ОФИЦИАЛЬНОЕ ОПУБЛИКОВАНИЕ
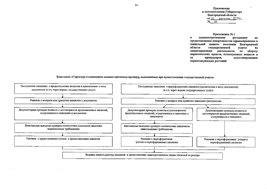
Постановление Губернатора Белгородской области от 14.08.2017 № 66
"О внесении изменений в постановление Губернатора Белгородской области от 03 сентября 2014 года № 81"
Номер опубликования: 3100201708140009
Дата опубликования: 14.08.2017
Страница №14 из 16:
Увеличить