Официальное опубликование правовых актов
ОФИЦИАЛЬНОЕ ОПУБЛИКОВАНИЕ
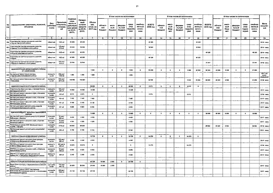
Постановление Правительства Белгородской области от 22.05.2017 № 187-пп
"О внесении изменений в постановление Правительства Белгородской области от 07 ноября 2016 года № 387-пп"
Номер опубликования: 3100201705260001
Дата опубликования: 26.05.2017
Страница №21 из 30:
Увеличить