Официальное опубликование правовых актов
ОФИЦИАЛЬНОЕ ОПУБЛИКОВАНИЕ
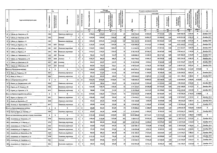
Постановление Правительства Белгородской области от 21.11.2016 № 415-пп
"О внесении изменений в постановление Правительства Белгородской области от 16 декабря 2014 года № 456-пп"
Номер опубликования: 3100201611290019
Дата опубликования: 29.11.2016
Страница №5 из 17:
Увеличить