Официальное опубликование правовых актов
ОФИЦИАЛЬНОЕ ОПУБЛИКОВАНИЕ
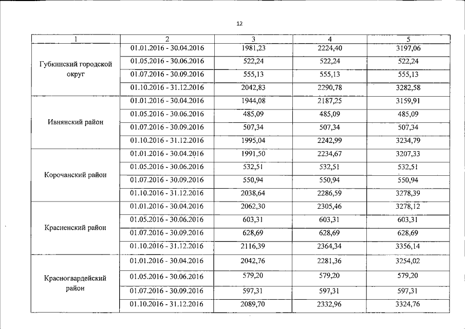
Постановление Правительства Белгородской области от 10.05.2016 № 138-пп
"Об утверждении региональных стандартов стоимости жилищно-коммунальных услуг по муниципальным образованиям Белгородской области на 2016 год"
Номер опубликования: 3100201605180016
Дата опубликования: 18.05.2016
Страница №12 из 17:
Увеличить