Официальное опубликование правовых актов
ОФИЦИАЛЬНОЕ ОПУБЛИКОВАНИЕ
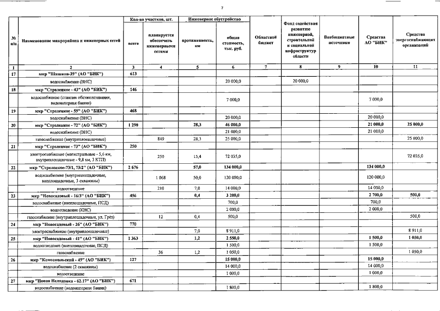
Постановление Правительства Белгородской области от 01.02.2016 № 26-пп
"Об утверждении пообъектного перечня мероприятий по инженерному обустройству микрорайонов массовой застройки индивидуального жилищного строительства в Белгородской области, в том числе земельных участков, выданных многодетным семьям, на 2016 год"
Номер опубликования: 3100201602040005
Дата опубликования: 04.02.2016
Страница №7 из 17:
Увеличить