Официальное опубликование правовых актов
ОФИЦИАЛЬНОЕ ОПУБЛИКОВАНИЕ
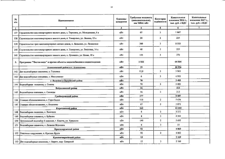
Постановление Правительства Белгородской области от 14.12.2015 № 449-пп
"Об утверждении инвестиционной программы строительства и реконструкции объектов энергоснабжения потребителей Белгородской области на 2016 год"
Номер опубликования: 3100201512180006
Дата опубликования: 18.12.2015
Страница №15 из 23:
Увеличить