Официальное опубликование правовых актов
ОФИЦИАЛЬНОЕ ОПУБЛИКОВАНИЕ
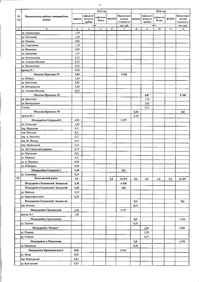
Постановление Правительства Белгородской области от 30.11.2015 № 433-пп
"О внесении изменений в постановление Правительства области от 28 октября 2013 года № 440-пп"
Номер опубликования: 3100201512080006
Дата опубликования: 08.12.2015
Страница №71 из 76:
Увеличить