Официальное опубликование правовых актов
ОФИЦИАЛЬНОЕ ОПУБЛИКОВАНИЕ
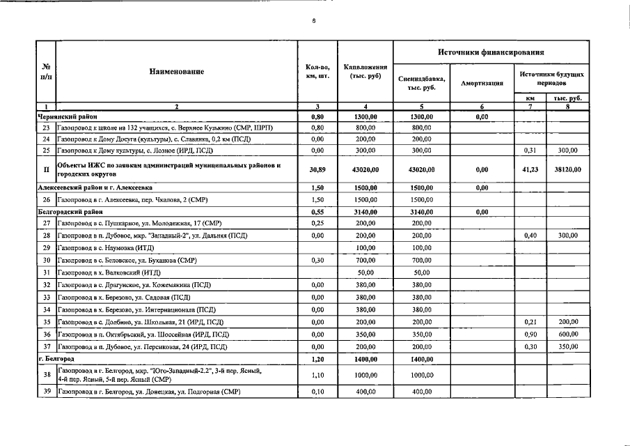
Постановление Правительства Белгородской области от 19.10.2015 № 375-пп
"Об утверждении инвестиционной программы строительства и реконструкции объектов газоснабжения потребителей Белгородской области на 2016 год"
Номер опубликования: 3100201510230004
Дата опубликования: 23.10.2015
Страница №6 из 15:
Увеличить