Официальное опубликование правовых актов
ОФИЦИАЛЬНОЕ ОПУБЛИКОВАНИЕ
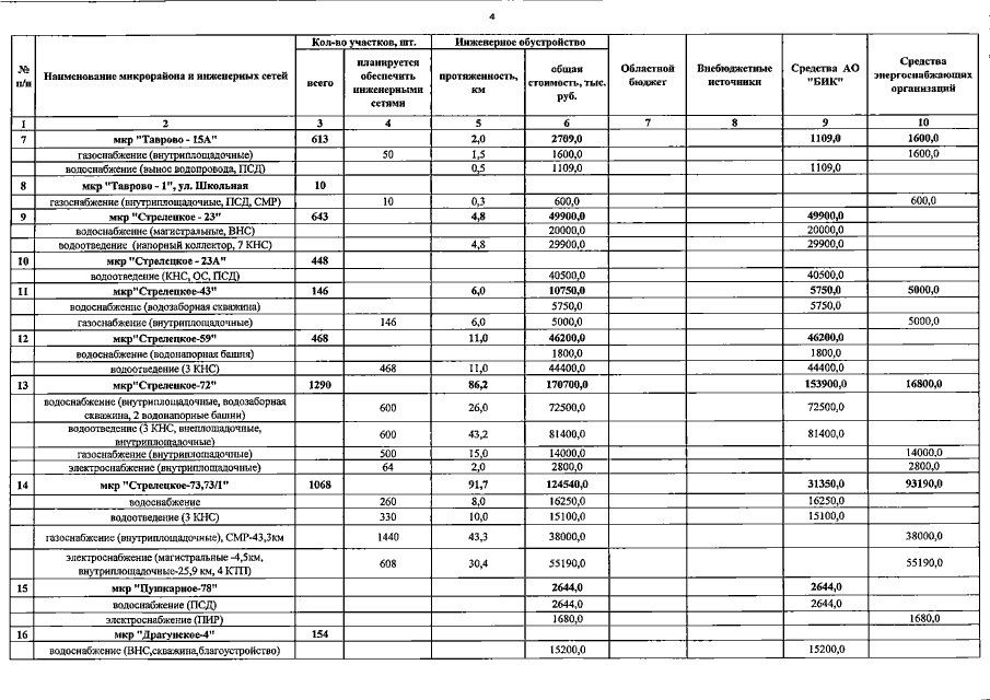
Постановление Правительства Белгородской области от 21.09.2015 № 345-пп
"О внесении изменений в постановление Правительства области от 23 марта 2015 года № 113-пп"
Номер опубликования: 3100201509290002
Дата опубликования: 29.09.2015
Страница №4 из 15:
Увеличить