Официальное опубликование правовых актов
ОФИЦИАЛЬНОЕ ОПУБЛИКОВАНИЕ
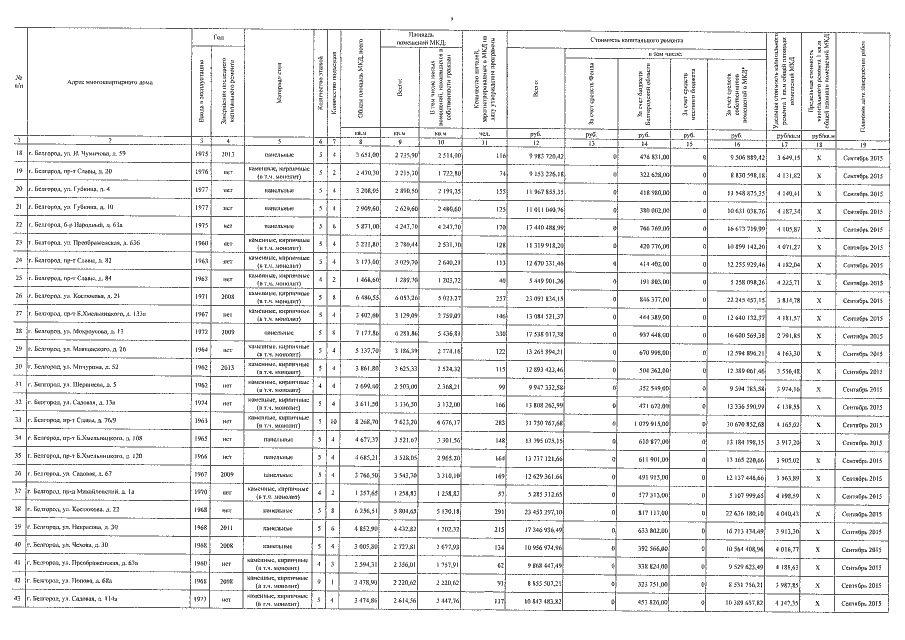
Постановление Правительства Белгородской области от 17.08.2015 № 307-пп
"О внесении изменений в постановление Правительства Белгородской области от 16 декабря 2014 года № 456-пп"
Номер опубликования: 3100201508250006
Дата опубликования: 25.08.2015
Страница №3 из 31:
Увеличить