Официальное опубликование правовых актов
ОФИЦИАЛЬНОЕ ОПУБЛИКОВАНИЕ
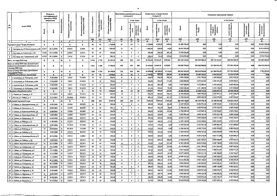
Постановление Правительства Белгородской области от 07.07.2015 № 266-пп
"О внесении изменений в постановление Правительства Белгородской области от 17 июня 2013 года № 248-пп"
Номер опубликования: 3100201507130007
Дата опубликования: 13.07.2015
Страница №18 из 44:
Увеличить