Официальное опубликование правовых актов
ОФИЦИАЛЬНОЕ ОПУБЛИКОВАНИЕ
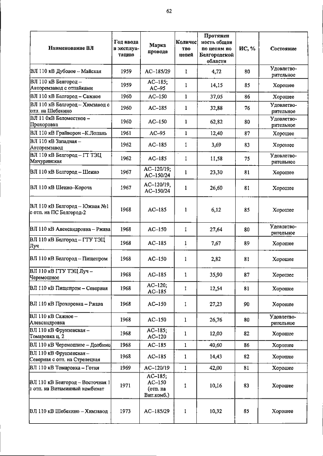
Постановление Губернатора Белгородской области от 12.05.2015 № 46
"Об утверждении схемы и программы развития электроэнергетики Белгородской области на 2016-2020 годы"
Номер опубликования: 3100201505190006
Дата опубликования: 19.05.2015
Страница №62 из 150:
Увеличить