Официальное опубликование правовых актов
ОФИЦИАЛЬНОЕ ОПУБЛИКОВАНИЕ
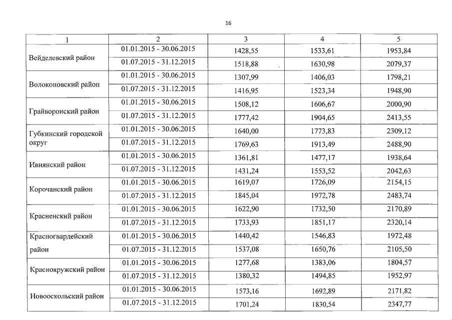
Постановление Правительства Белгородской области от 16.03.2015 № 92-пп
"Об утверждении региональных стандартов стоимости жилищно-коммунальных услуг по муниципальным образованиям Белгородской области на 2015 год"
Номер опубликования: 3100201503190007
Дата опубликования: 19.03.2015
Страница №16 из 17:
Увеличить