Официальное опубликование правовых актов
ОФИЦИАЛЬНОЕ ОПУБЛИКОВАНИЕ
Постановление Министерства имущественных и градостроительных отношений Астраханской области от 17.09.2025 № 82
"Об утверждении изменений в Правила землепользования и застройки муниципального образования "Сельское поселение Село Зеленга Володарского муниципального района Астраханской области", утвержденные решением Совета муниципального образования "Володарский муниципальный район Астраханской области" от 30.03.2023 № 14"
(Зарегистрирован 17.09.2025 № 114/25/82)
Номер опубликования: 3001202509220005
Дата опубликования: 22.09.2025
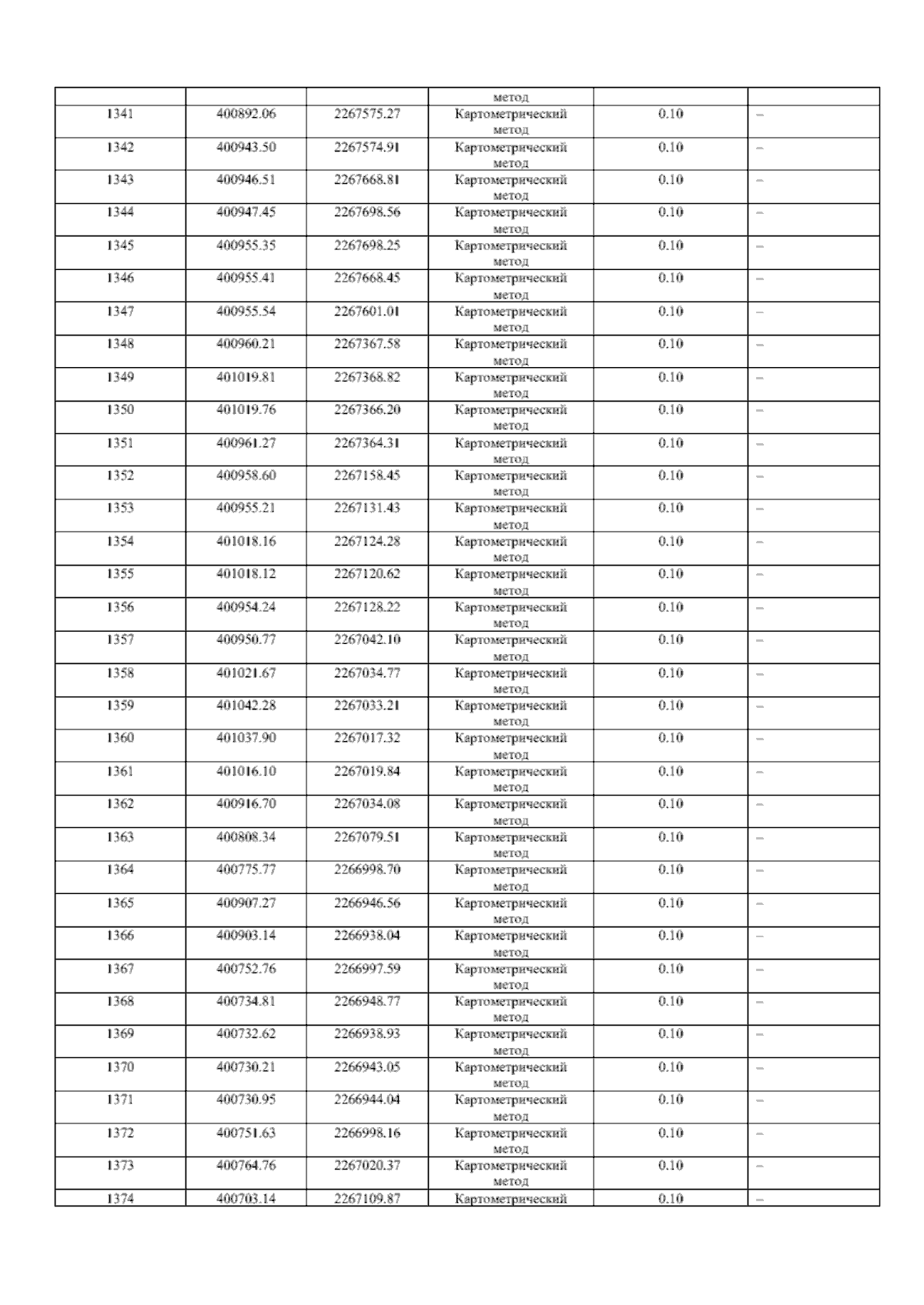
Страница №213 из 230:
Увеличить