Официальное опубликование правовых актов
ОФИЦИАЛЬНОЕ ОПУБЛИКОВАНИЕ
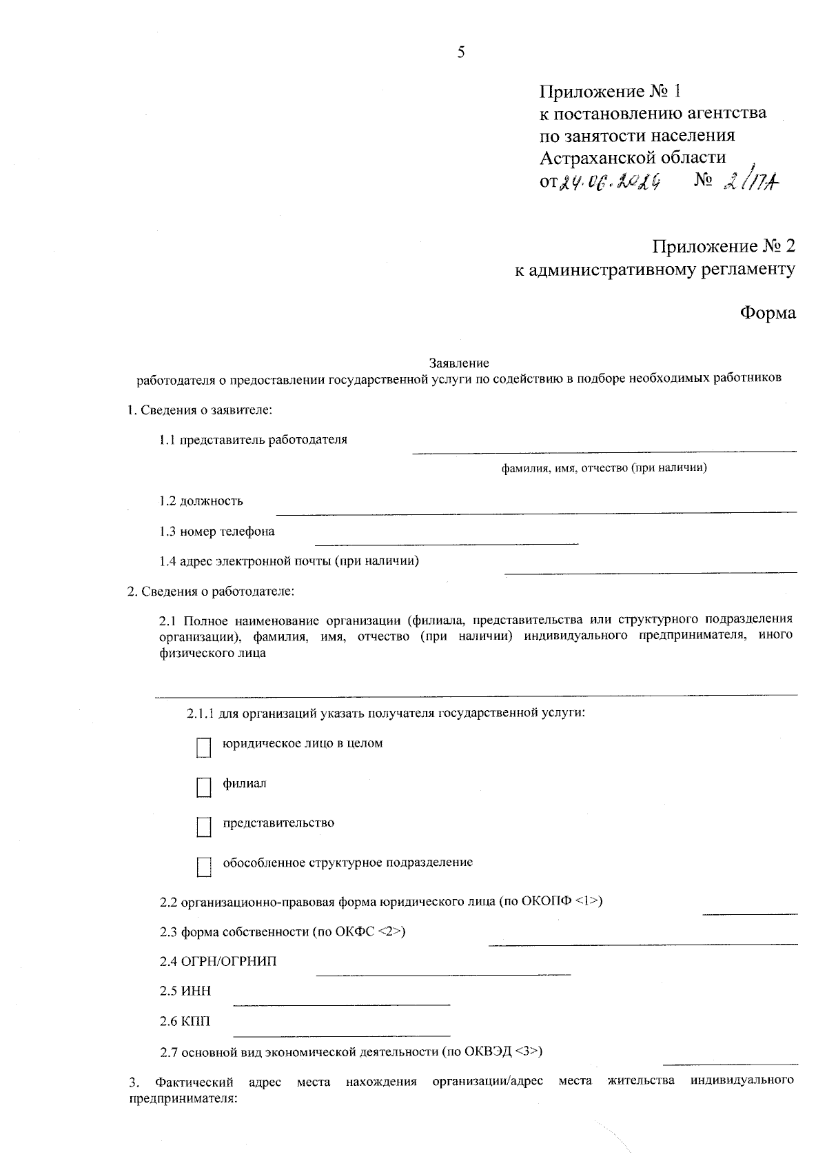
Постановление Агентства по занятости населения Астраханской области от 24.06.2024 № 2/ПА
"О внесении изменений в постановления агентства по занятости населения Астраханской области"
(Зарегистрирован 24.06.2024 № 205/24/2/ПА)
Номер опубликования: 3001202406270003
Дата опубликования: 27.06.2024
Страница №5 из 19:
Увеличить