Официальное опубликование правовых актов
ОФИЦИАЛЬНОЕ ОПУБЛИКОВАНИЕ
Постановление Службы по тарифам Астраханской области от 13.12.2023 № 108
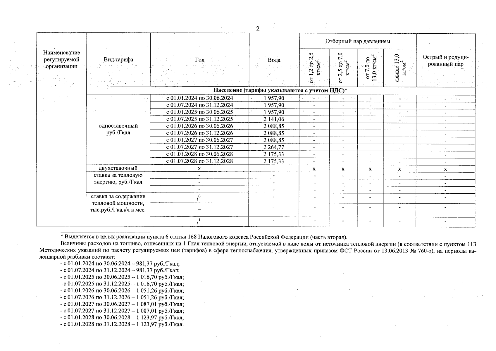
"Об установлении ОАО "РЖД" (ОГРН 1037739877295) тарифов на тепловую энергию (мощность), поставляемую потребителям на территории Астраханской области"
(Зарегистрирован 13.12.2023 № 307/23/108)
Номер опубликования: 3001202312210005
Дата опубликования: 21.12.2023
Страница №4 из 14:
Увеличить