Официальное опубликование правовых актов
ОФИЦИАЛЬНОЕ ОПУБЛИКОВАНИЕ
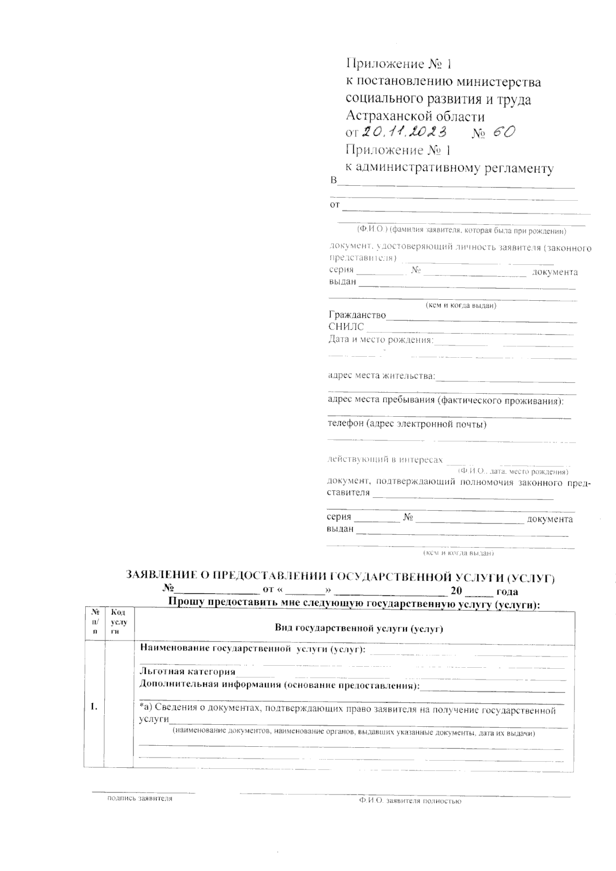
Постановление Министерства социального развития и труда Астраханской области от 20.11.2023 № 60
"О внесении изменений в постановление министерства социального развития и труда Астраханской области от 23.08.2022 № 40"
(Зарегистрирован 20.11.2023 № 109/23/60)
Номер опубликования: 3001202311230008
Дата опубликования: 23.11.2023
Страница №18 из 25:
Увеличить