Официальное опубликование правовых актов
ОФИЦИАЛЬНОЕ ОПУБЛИКОВАНИЕ
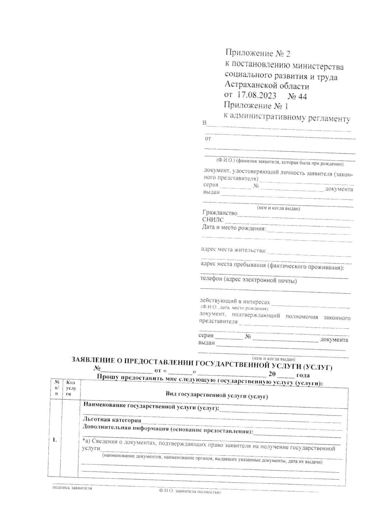
Постановление Министерства социального развития и труда Астраханской области от 17.08.2023 № 44
"О внесении изменений в постановления министерства социального развития и труда Астраханской области от 29.01.2018 № 7 и от 07.06.2018 № 48"
(Зарегистрирован 17.08.2023 № 109/23/44)
Номер опубликования: 3001202308240005
Дата опубликования: 24.08.2023
Страница №14 из 18:
Увеличить