Официальное опубликование правовых актов
ОФИЦИАЛЬНОЕ ОПУБЛИКОВАНИЕ
Постановление Министерства строительства и жилищно-коммунального хозяйства Астраханской области от 21.06.2023 № 18
"О внесении изменений в постановление министерства строительства и жилищно-коммунального хозяйства Астраханской области от 24.06.2019 № 29"
(Зарегистрирован 21.06.2023 № 110/23/18)
Номер опубликования: 3001202306290007
Дата опубликования: 29.06.2023
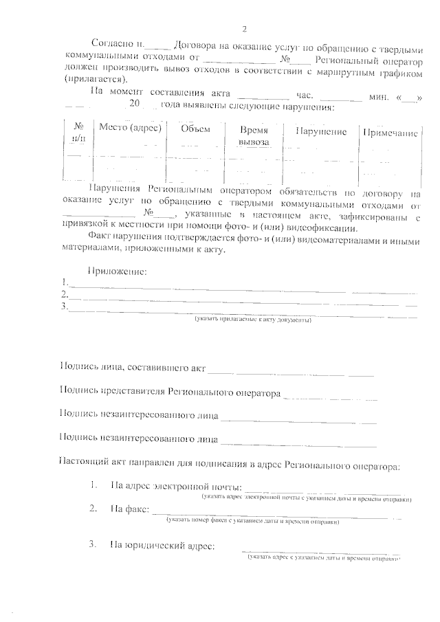
Страница №4 из 4:
Увеличить