Официальное опубликование правовых актов
ОФИЦИАЛЬНОЕ ОПУБЛИКОВАНИЕ
Постановление Министерства социального развития и труда Астраханской области от 29.08.2022 № 46
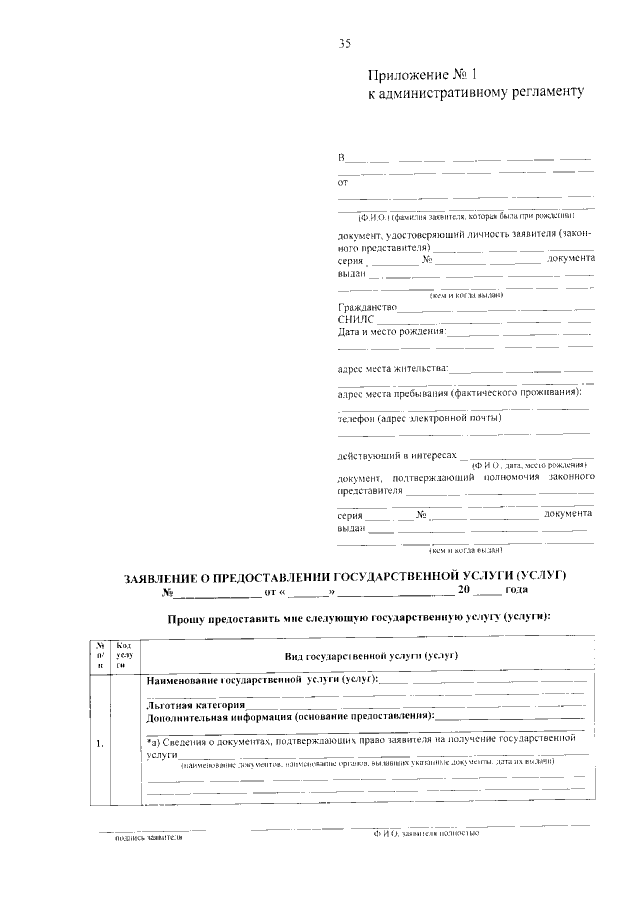
"Об административном регламенте министерства социального развития и труда Астраханской области предоставления государственной услуги "Присвоение звания "Ветеран труда"
Номер опубликования: 3001202209010009
Дата опубликования: 01.09.2022
Страница №37 из 46:
Увеличить