Официальное опубликование правовых актов
ОФИЦИАЛЬНОЕ ОПУБЛИКОВАНИЕ
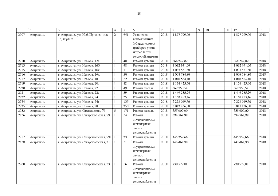
Постановление Министерства строительства и жилищно-коммунального хозяйства Астраханской области от 12.04.2022 № 5
"О внесении изменений в постановление министерства строительства и жилищно-коммунального хозяйства Астраханской области от 09.11.2017 № 42"
Номер опубликования: 3001202204140004
Дата опубликования: 14.04.2022
Страница №28 из 261:
Увеличить