Официальное опубликование правовых актов
ОФИЦИАЛЬНОЕ ОПУБЛИКОВАНИЕ
Постановление Министерства строительства и жилищно-коммунального хозяйства Астраханской области от 28.12.2021 № 35
"О внесении изменений в постановление министерства строительства и жилищно-коммунального хозяйства Астраханской области от 09.11.2017 № 42"
Номер опубликования: 3001202112280021
Дата опубликования: 28.12.2021
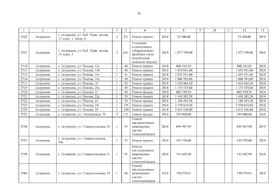
Страница №27 из 254:
Увеличить