Официальное опубликование правовых актов
ОФИЦИАЛЬНОЕ ОПУБЛИКОВАНИЕ
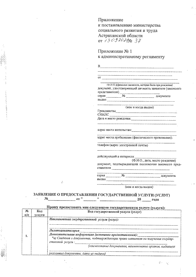
Постановление Министерства социального развития и труда Астраханской области от 13.09.2021 № 37
"О внесении изменений в постановление министерства социального развития и труда Астраханской области от 30.06.2020 № 40"
Номер опубликования: 3001202109160002
Дата опубликования: 16.09.2021
Страница №9 из 13:
Увеличить