Официальное опубликование правовых актов
ОФИЦИАЛЬНОЕ ОПУБЛИКОВАНИЕ
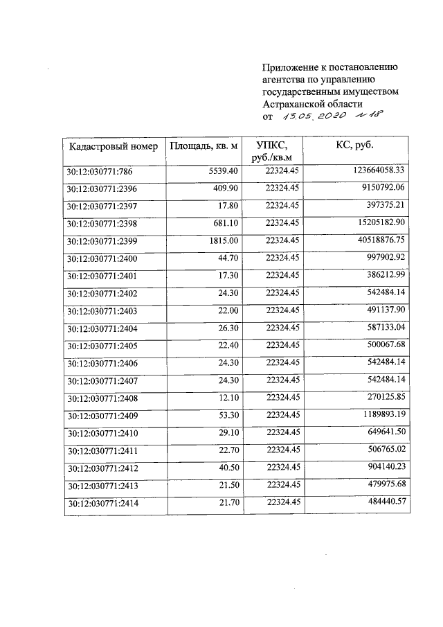
Постановление Агентства по управлению государственным имуществом Астраханской области от 13.05.2020 № 18
"О внесении изменений в постановление агентства по управлению государственным имуществом Астраханской области от 20.11.2019 №18"
Номер опубликования: 3001202005210018
Дата опубликования: 21.05.2020
Страница №3 из 3:
Увеличить