Официальное опубликование правовых актов
ОФИЦИАЛЬНОЕ ОПУБЛИКОВАНИЕ
Постановление Министерства социального развития и труда Астраханской области от 28.08.2019 № 55
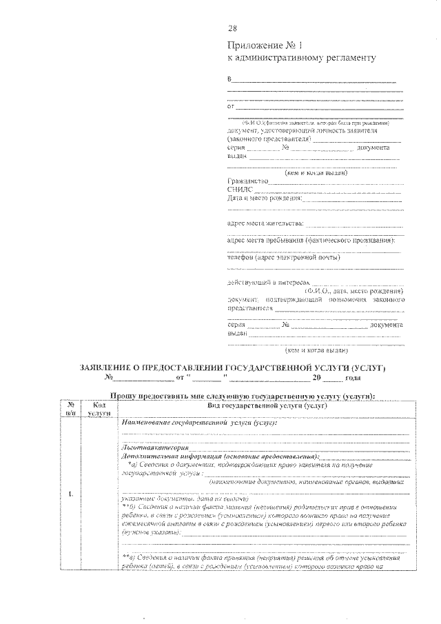
"Об административном регламенте государственных казенных учреждений Астраханской области - центров социальной поддержки населения муниципальных районов, центров социальной поддержки населения районов города Астрахани, центра социальной поддержки населения закрытого административно-территориального образования Знаменск, подведомственных министерству социального развития и труда Астраханской области, предоставления государственной услуги "Оказание единовременной материальной помощи отдельным категориям граждан на газификацию домовладений"
Номер опубликования: 3001201909050009
Дата опубликования: 05.09.2019
Страница №31 из 51:
Увеличить