Официальное опубликование правовых актов
ОФИЦИАЛЬНОЕ ОПУБЛИКОВАНИЕ
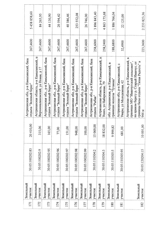
Постановление Агентства по управлению государственным имуществом Астраханской области от 06.11.2018 № 33 "Об утверждении результатов определения кадастровой стоимости земельных участков в составе земель особо охраняемых территорий и объектов, расположенных на территории Астраханской области"
Номер опубликования: 3001201811080003
Дата опубликования: 08.11.2018
Страница №23 из 73:
Увеличить