Официальное опубликование правовых актов
ОФИЦИАЛЬНОЕ ОПУБЛИКОВАНИЕ
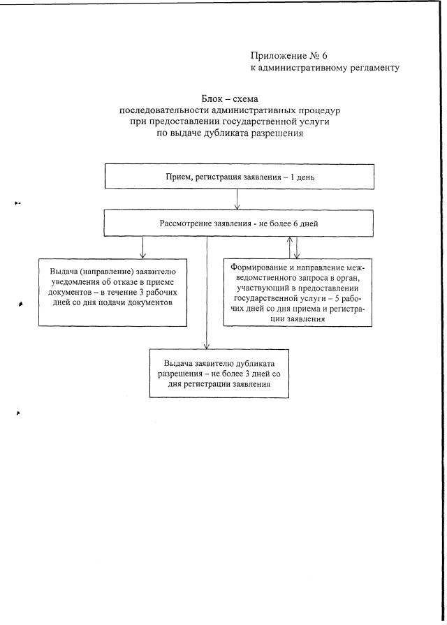
Постановление Министерства промышленности, транспорта и природных ресурсов Астраханской области от 24.07.2018 № 12-П "Об административном регламенте министерства промышленности, транспорта и природных ресурсов Астраханской области предоставления государственной услуги "Выдача разрешения на осуществление деятельности по перевозке пассажиров и багажа легковым такси на территории Астраханской области"
Номер опубликования: 3001201807310003
Дата опубликования: 31.07.2018
Страница №40 из 49:
Увеличить