Официальное опубликование правовых актов
ОФИЦИАЛЬНОЕ ОПУБЛИКОВАНИЕ
Постановление Правительства Астраханской области от 26.12.2025 № 876-П
"О внесении изменений в постановление Правительства Астраханской области от 06.10.2023 № 588-П"
Номер опубликования: 3000202512300027
Дата опубликования: 30.12.2025
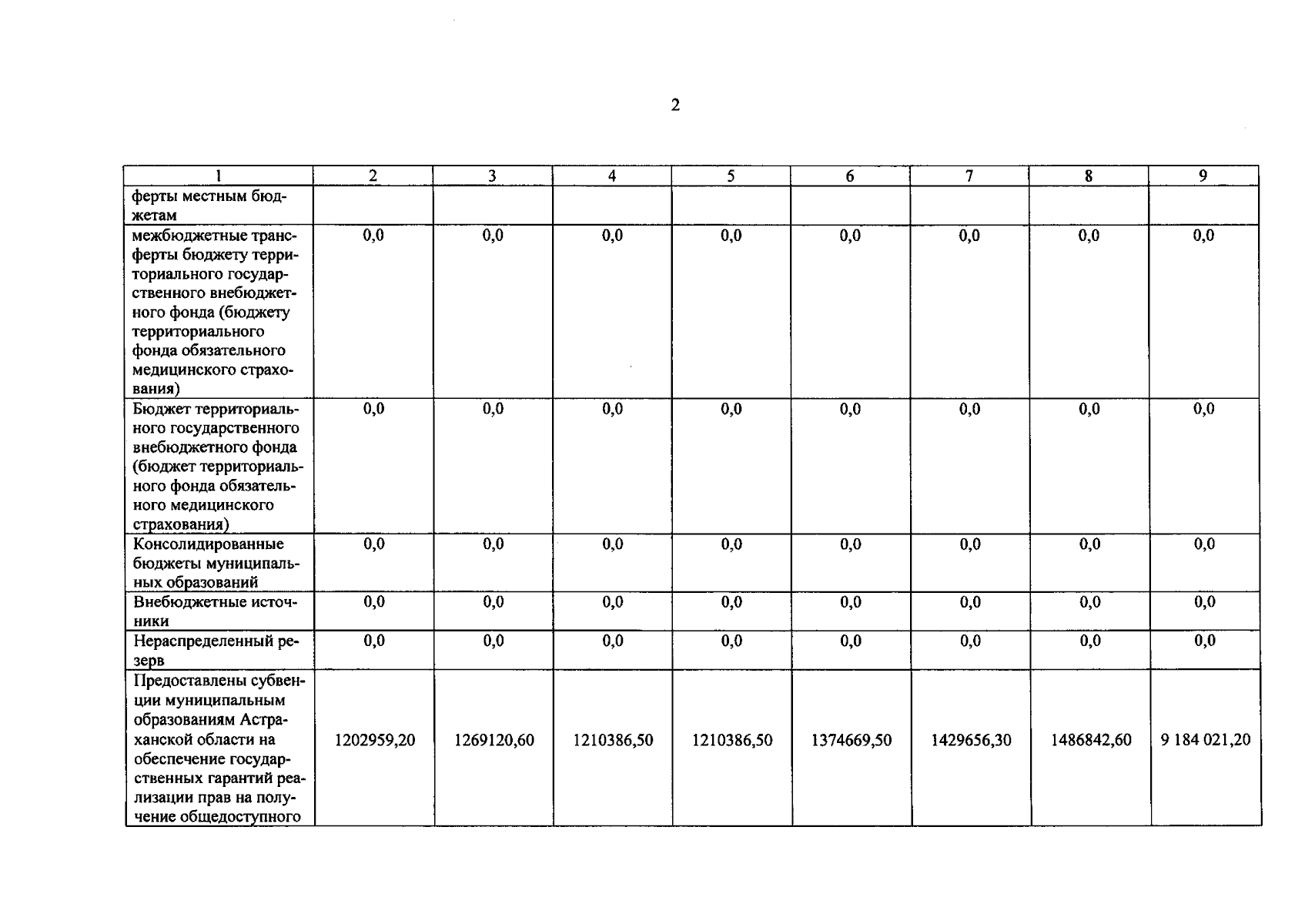
Страница №175 из 257:
Увеличить