Официальное опубликование правовых актов
ОФИЦИАЛЬНОЕ ОПУБЛИКОВАНИЕ
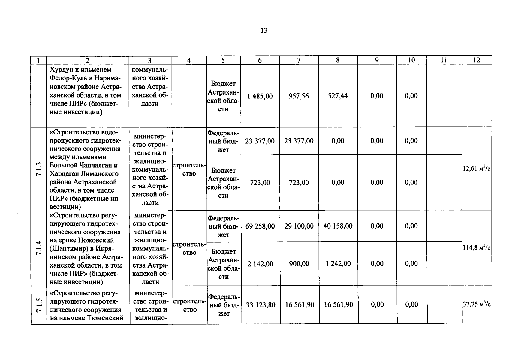
Постановление Правительства Астраханской области от 31.10.2025 № 690-П
"О перечне объектов капитальных вложений на 2026 год и на весь период реализации объектов капитальных вложений"
Номер опубликования: 3000202511010015
Дата опубликования: 01.11.2025
Страница №14 из 22:
Увеличить