Официальное опубликование правовых актов
ОФИЦИАЛЬНОЕ ОПУБЛИКОВАНИЕ
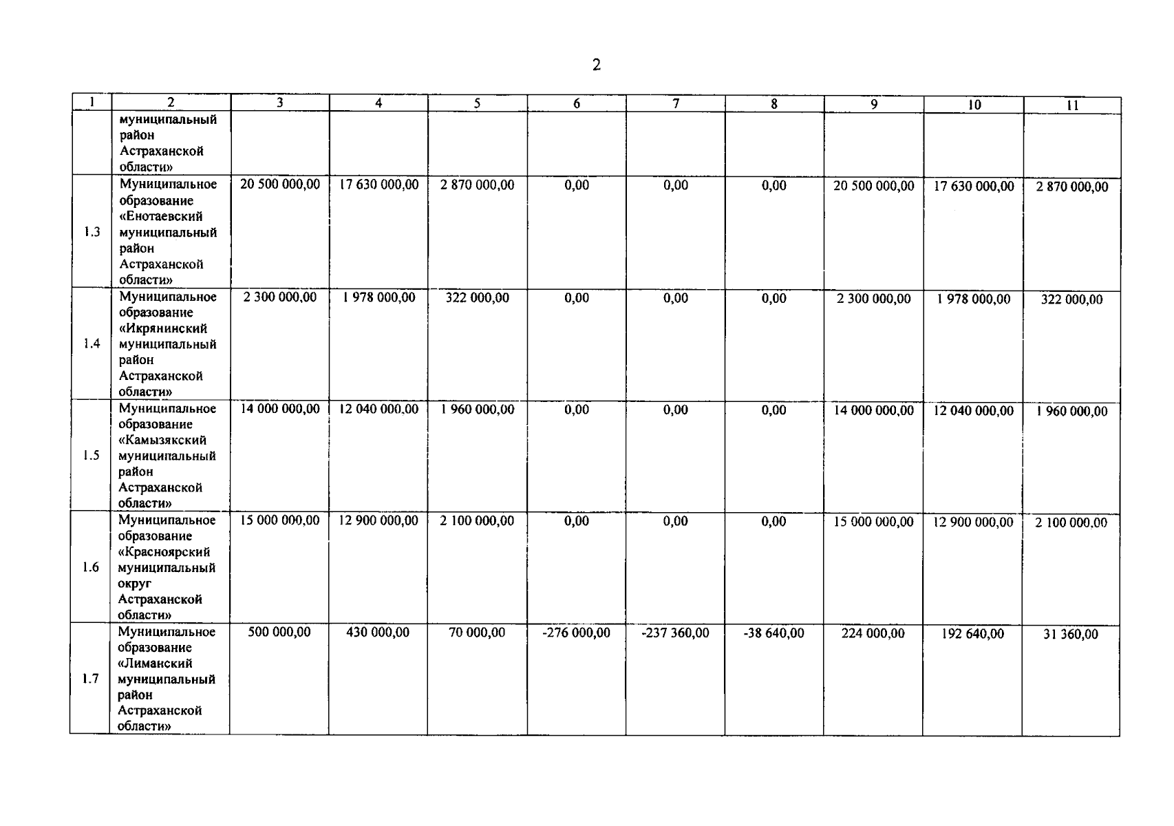
Постановление Правительства Астраханской области от 30.10.2025 № 682-П
"О перераспределении в 2025 году субвенции, предоставляемой местным бюджетам для осуществления органами местного самоуправления отдельных государственных полномочий по предоставлению субсидий на стимулирование увеличения производства картофеля и овощей, за исключением средств на осуществление органами местного самоуправления управленческих функций при осуществлении данных полномочий"
Номер опубликования: 3000202511010001
Дата опубликования: 01.11.2025
Страница №3 из 6:
Увеличить