Официальное опубликование правовых актов
ОФИЦИАЛЬНОЕ ОПУБЛИКОВАНИЕ
Постановление Правительства Астраханской области от 19.09.2025 № 614-П
"О внесении изменений в постановление Правительства Астраханской области от 27.10.2023 № 623-П"
Номер опубликования: 3000202509220001
Дата опубликования: 22.09.2025
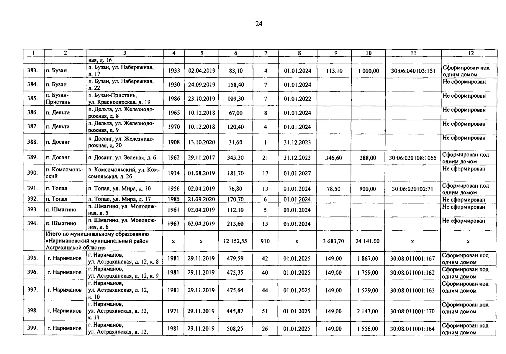
Страница №28 из 91:
Увеличить