Официальное опубликование правовых актов
ОФИЦИАЛЬНОЕ ОПУБЛИКОВАНИЕ
Распоряжение Правительства Астраханской области от 14.08.2025 № 289-Пр
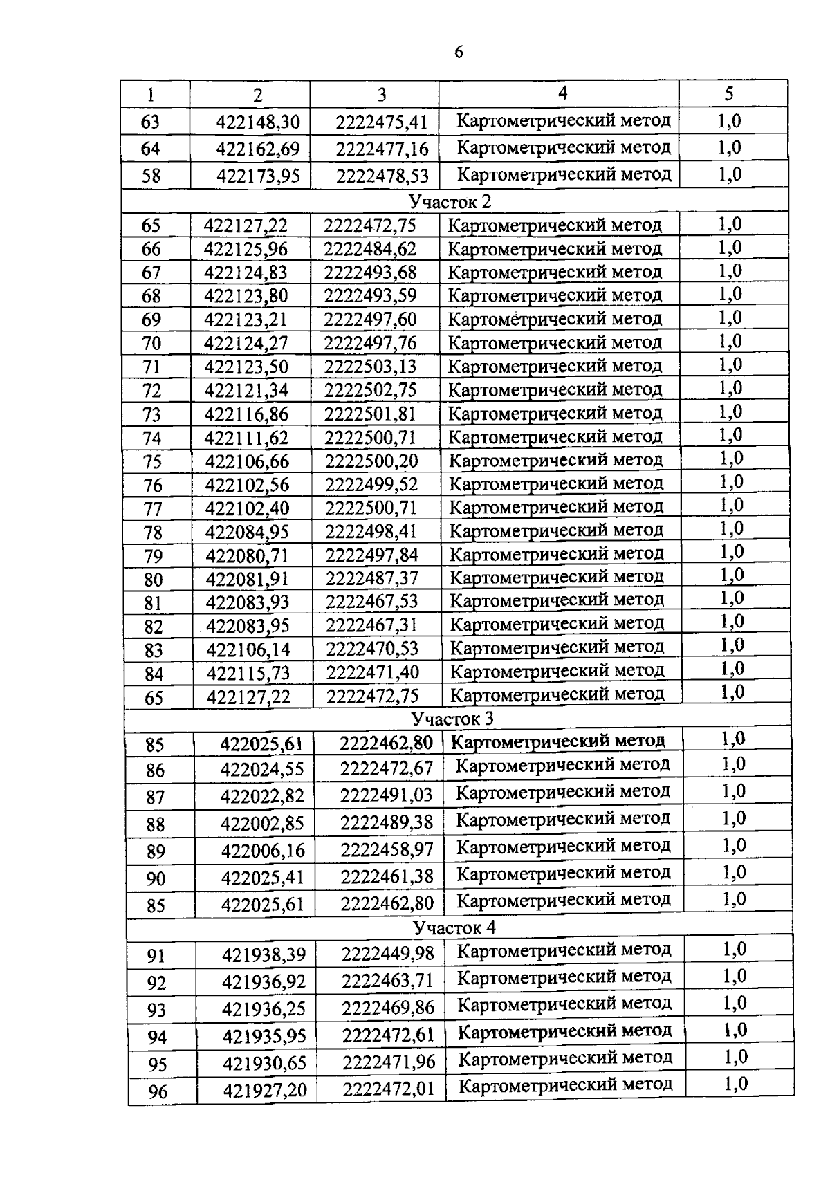
"Об установлении объединенной зоны охраны объектов культурного наследия регионального значения "Усадьба Яшина с лавками и складами, 2-я пол. XIX в." (Астраханская область, г. Астрахань, ул. Чехова, 58 (Лит. "А", "А1", "Б", "В", "В1", ворота), "Дом жилой с лавками Коноплёвой Н.П., 2-я пол. XIX в." (Астраханская область, г. Астрахань, ул. Чехова, 54 (Лит. "А", "А1"), "Дом жилой, кон. ХIХ в." (Астраханская область, г. Астрахань, ул. Чехова, 52), "Дом жилой усадьбы Валовой М.А., 2-я пол. XIX в." (Астраханская область, г. Астрахань, ул. Чехова, 44 (Лит. "А", ворота и ограда), "Дом жилой, кон. ХIХ – нач. ХХ вв." (Астраханская область, г. Астрахань, ул. Чехова, 38 / ул. Кожанова, 10), "Усадьба городская Гаврилова, кон. XIX в." (Астраханская область, г. Астрахань, ул. Чехова, 34 (Лит. "А", "В", ворота), "Дом жилой, кон. XIX в." (Астраханская область, г. Астрахань, ул. Максаковой, 21), "Дом жилой усадьбы Афанасова, 2-я пол. XIX в." (Астраханская область, г. Астрахань, ул. Максаковой, 19 (Лит. "А", ворота), "Дом Кочетова Е.А., кон. XIX в." (Астраханская область, г. Астрахань, ул. Максаковой, 15 (Лит. "А", "а"), "Дом "Воробьевская столовая и дешевые квартиры", 1891 г." (Астраханская область, г. Астрахань, ул. Максаковой, 5, 7 / ул. Московская, 28, 30 / ул. Кожанова, 16 (Лит. "С", ограда), "Дом ночлежный городской, до 1897 г." (Астраханская область, г. Астрахань, ул. Максаковой, 3 / ул. Московская, 26 (Лит. "А,А1,а", ограда), "Училище приходское церкви Казанской иконы, кон. 19 в." (Астраханская область, г. Астрахань, ул. Академика Королева, 21 / ул. Максаковой, 1 / ул. Московская, 24 (Лит. "Б,Б1,б,б1")"
Номер опубликования: 3000202508180004
Дата опубликования: 18.08.2025
Страница №10 из 36:
Увеличить