Официальное опубликование правовых актов
ОФИЦИАЛЬНОЕ ОПУБЛИКОВАНИЕ
Распоряжение Правительства Астраханской области от 14.08.2025 № 288-Пр
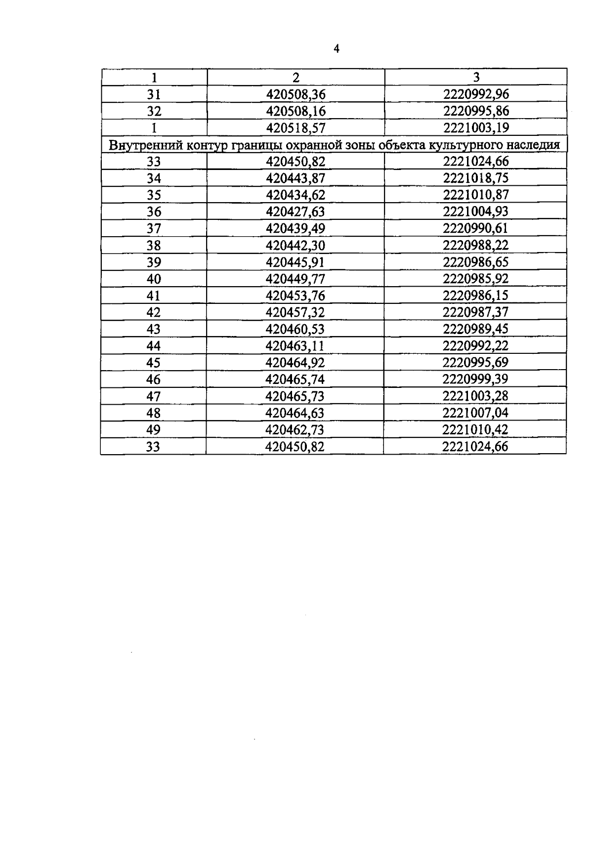
"Об установлении зоны охраны объекта культурного наследия регионального значения "Павильон городского катка на пруду 17-й пристани (планетарий с 1959 г.), 1955 г.", расположенного по адресу: Астраханская область, г. Астрахань, ул. Адмиралтейская, 1/8 (Лит. "А"), и утверждении требований к градостроительным регламентам в границах данной зоны"
Номер опубликования: 3000202508180003
Дата опубликования: 18.08.2025
Страница №6 из 15:
Увеличить