Официальное опубликование правовых актов
ОФИЦИАЛЬНОЕ ОПУБЛИКОВАНИЕ
Постановление Правительства Астраханской области от 19.06.2025 № 376-П
"О внесении изменений в постановление Правительства Астраханской области от 08.09.2023 № 522-П"
Номер опубликования: 3000202506230001
Дата опубликования: 23.06.2025
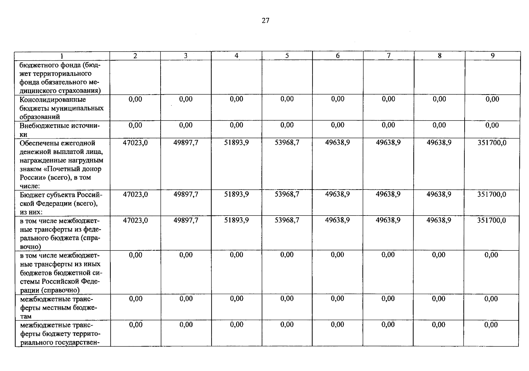
Страница №42 из 77:
Увеличить