Официальное опубликование правовых актов
ОФИЦИАЛЬНОЕ ОПУБЛИКОВАНИЕ
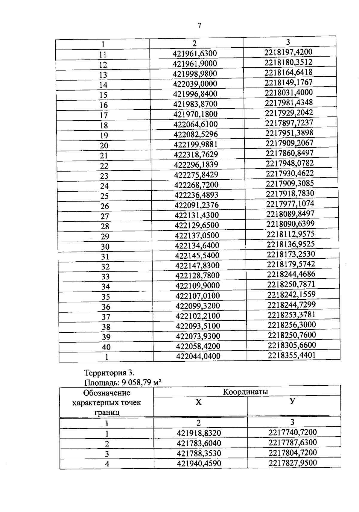
Постановление Правительства Астраханской области от 18.02.2025 № 88-П
"О комплексном развитии незастроенной территории в районе переулка Грановского, улиц Молдавской, Каштановой, Вербовой в Трусовском районе города Астрахани"
Номер опубликования: 3000202502190005
Дата опубликования: 19.02.2025
Страница №9 из 15:
Увеличить