Официальное опубликование правовых актов
ОФИЦИАЛЬНОЕ ОПУБЛИКОВАНИЕ
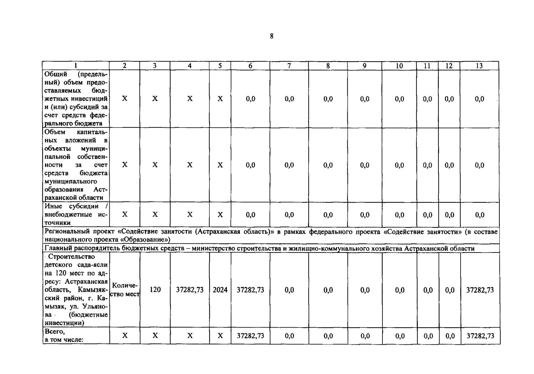
Постановление Правительства Астраханской области от 11.12.2024 № 806-П
"О внесении изменений в постановление Правительства Астраханской области от 06.10.2023 № 588-П"
Номер опубликования: 3000202412200001
Дата опубликования: 20.12.2024
Страница №490 из 496:
Увеличить