Официальное опубликование правовых актов
ОФИЦИАЛЬНОЕ ОПУБЛИКОВАНИЕ
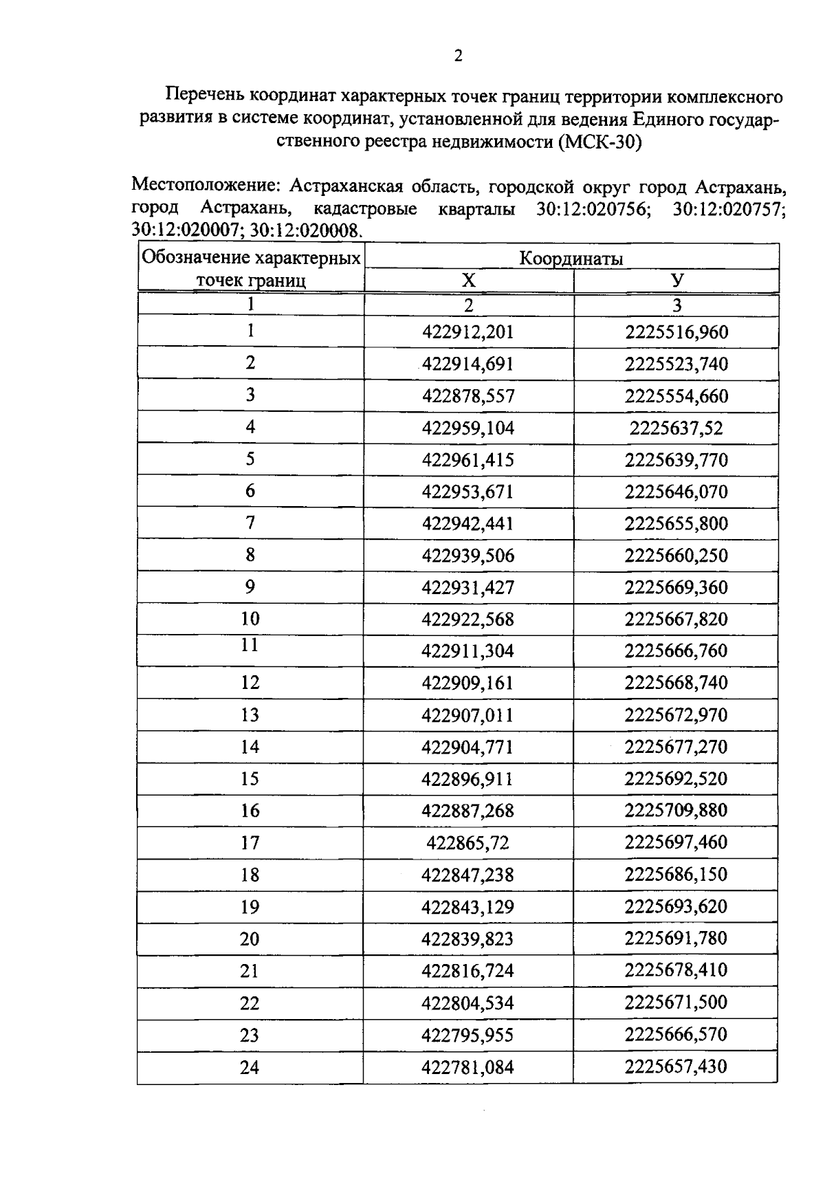
Постановление Правительства Астраханской области от 22.08.2024 № 541-П
"О комплексном развитии территории жилой застройки в районе улиц Маркина, Широкой в Ленинском районе города Астрахани"
Номер опубликования: 3000202408260014
Дата опубликования: 26.08.2024
Страница №4 из 13:
Увеличить