Официальное опубликование правовых актов
ОФИЦИАЛЬНОЕ ОПУБЛИКОВАНИЕ
Распоряжение Правительства Астраханской области от 12.07.2024 № 260-Пр
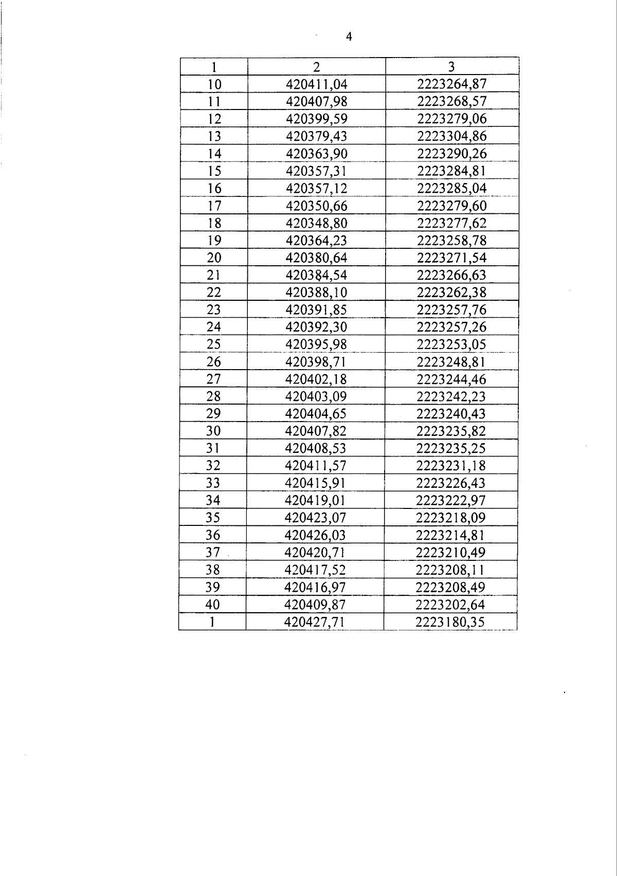
"Об установлении объединенной зоны охраны объектов культурного наследия регионального значения "Офицерское собрание Астраханского казачьего войска (Клуб Астраханского казачьего войска), 1906–1907 гг." (Астраханская область, г. Астрахань, ул. Чалабяна, 16, ул. Победы, 11), "Усадьба Джанумова, кон. XIX в." (Астраханская область, г. Астрахань, ул. 3-я Интернациональная, 13, ул. Победы, 10 (Лит. "А", "Г"), "Усадьба Дворецкого, кон. XIX в." (Астраханская область, г. Астрахань, ул. Маяковского, 15, ул. 3-я Интернациональная, 14 (Лит. "Г", "г", "А", "а", "а2"), "Усадьба Гудшмидта, кон. XIX в." (Астраханская область, г. Астрахань, ул. Маяковского, 23 (Лит. "А", "Б"), "Дом жилой католического общества, 2-я пол. XIX в." (Астраханская область, г. Астрахань, ул. Победы, 3, ул. Маяковского, 18), "Усадьба городская, кон. XIX в." (Астраханская область, г. Астрахань, ул. Победы, 13, ул. Чалабяна, 13 (Лит. "А", "а1", "а2", "Б", "б2", "Г", "г"), "Дом жилой, нач. XX в." (Астраханская область, г. Астрахань, ул. Чалабяна, 11), "Усадьба городская Черновой М.С., кон. XIX в." (Астраханская область, г. Астрахань, ул. 3-я Интернациональная, 7, ул. Саратовская, 2 (Лит. "А", "а", "Б"), "Усадьба Баталовых, кон. XIX в." (Астраханская область, г. Астрахань, ул. Н. Качуевской, 18, ул. Победы, 16 (Лит. "А", "Б", ворота), "Училище духовное Епархиальное женское с домовой церковью Веры, Надежды, Любови и матери их Софьи, 1876–1877 гг., 1882 г., 1895 г., 1904–1908 гг., арх. Знаменский П., Фольрат Э.И., Карягин С.И., Малаховский А.С." (Астраханская область, г. Астрахань, ул. Ногина, 6, ул. Чалабяна, 17, ул. Н. Качуевской, 20 (Лит. "А"), "Усадьба городская, кон. XIX в." (Астраханская область, г. Астрахань, ул. Маяковского, 25 (Лит. "А", "а", "Б", "б", ворота с калиткой) и утверждении требований к градостроительным регламентам в границах данной зоны"
Номер опубликования: 3000202407160004
Дата опубликования: 16.07.2024
Страница №32 из 89:
Увеличить