Официальное опубликование правовых актов
ОФИЦИАЛЬНОЕ ОПУБЛИКОВАНИЕ
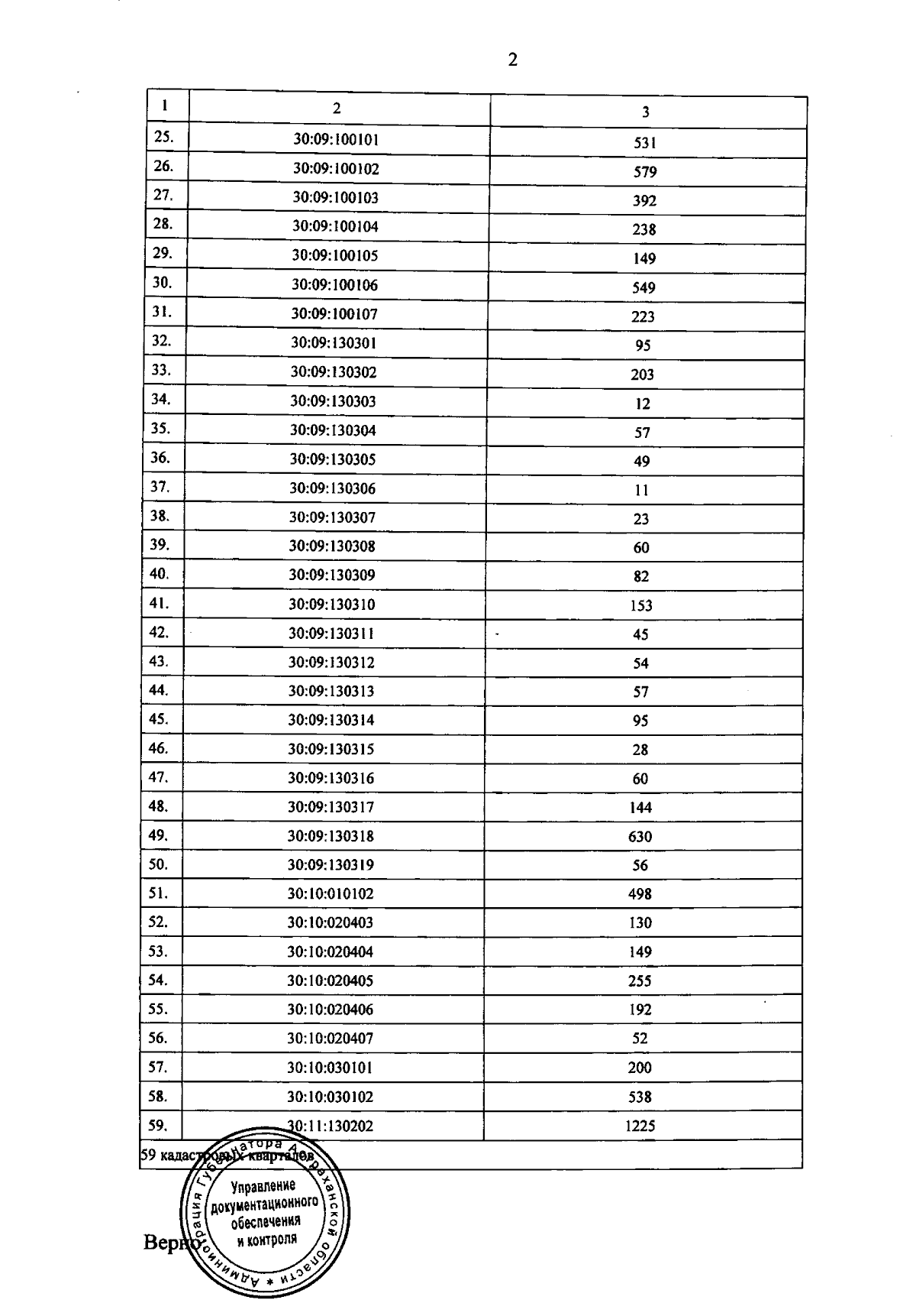
Постановление Правительства Астраханской области от 21.03.2024 № 146-П
"Об организации проведения комплексных кадастровых работ на территории Астраханской области в 2025 году и плановом периоде 2026 и 2027 годов"
Номер опубликования: 3000202403220001
Дата опубликования: 22.03.2024
Страница №11 из 11:
Увеличить